合作客戶/
拜耳公司 |
同濟大學 |
聯合大學 |
美國保潔 |
美國強生 |
瑞士羅氏 |
相關新聞Info
-
> 質量分數對納米流體表面張力、霧化模式的影響
> 基于黃芪膠、指甲花提取物制備納米天然表面活性劑的界面張力測量(二)
> 芬蘭Kibron表面張力儀使用指南【專業版】
> 嗜熱鏈球菌發酵乳對全蛋液起泡性、pH、黏度、表面張力的影響(一)
> 水成膜泡沫滅火劑之氟碳表面活性劑YM-316復配性能及表面張力測定(上)
> 各類塑料薄膜的表面張力特定范圍一覽
> 三元復合體系的界面擴張黏彈性對水驅后殘余油的乳化作用——實驗材料及條件
> 不同濃度的過氧化氫模擬氧化對豬皮明膠乳化性能、界面張力、Zeta電位的影響(三)
> 絲素蛋白作為表面活性劑實現納米級設備的水基加工
> 表面張力儀分析氣潤濕反轉劑對緩解煤層水鎖效應、解吸速率影響(二)
推薦新聞Info
-
> 微通道流動沸騰中表面張力的關鍵作用機制研究(三)
> 微通道流動沸騰中表面張力的關鍵作用機制研究(二)
> 微通道流動沸騰中表面張力的關鍵作用機制研究(一)
> 電場電壓對明膠液滴荷質比、表面張力的影響及預測模型構建(三)
> 電場電壓對明膠液滴荷質比、表面張力的影響及預測模型構建(二)
> 電場電壓對明膠液滴荷質比、表面張力的影響及預測模型構建(一)
> 破解固態電池界面之困:表面張力調控SiO?氣凝膠電解質原位構筑新策略
> 聯結基對磺酸鹽型雙子表面活性劑界面行為及泡沫穩定性的作用機制(三)
> 聯結基對磺酸鹽型雙子表面活性劑界面行為及泡沫穩定性的作用機制(二)
> 聯結基對磺酸鹽型雙子表面活性劑界面行為及泡沫穩定性的作用機制(一)
基于天然植物油的酰胺胺氧化合物的合成表征及表面性質——結果和討論
來源:上海謂載 瀏覽 2767 次 發布時間:2021-10-11
三、結果與討論
3.1 天然植物油酰胺胺的制備與表征 氧化物
蓖麻油酰胺氧化胺的通式及合成方法 棉籽油酰胺氧化胺見Scheme 1。
方案1 蓖麻油酰胺氧化胺和棉籽油酰胺的合成路線 氧化胺,其中R是蓖麻油和棉籽油的烷基鏈
衍生的氧化胺 6 來自天然植物油的也是一系列具有不同成分的化合物的混合物 烷基,其特征在于它們的 MS (g 1, 2) 和 IR 光譜(圖 3)。 這些光譜特征的細節如下。 在所有情況下,光譜 獲得的與這些化合物的指定結構一致。
圖 1. 蓖麻油酰胺氧化胺的質譜圖
圖 2. 棉籽油酰胺氧化胺的質譜圖
圖 3. 蓖麻油酰胺氧化胺和棉籽油酰胺胺的紅外光譜 氧化物
蓖麻油酰胺氧化胺:質譜,m/z=385.0、367.2、369.2和371.4分別為 歸因于蓖麻油酰氧化胺(C18:1,含-OH)、亞油酰氧化胺 (C18:2)、油酰氧化胺 (C18:1) 和硬脂酰氧化胺 (C18)。 紅外光譜 光譜 (KBr):3370.43 cm-1 處的譜帶 對應于NH的伸縮振動 和-哦。 2923.92 cm-1 處的伸縮帶 和 2855.27 cm-1 表征 –CH3 和-CH2 基團。 1,654.21 cm-1 處的伸縮帶 表征 C=O 和 C=C 組。 1568.55 cm-1 處的伸縮帶 表征 NH 基團,帶在 1465.28 厘米 -1 分配給 C-H 的彎曲振動。 1271.07 的伸縮帶 厘米-1 表征 C-N 組。 條帶出現在 957.85 cm-1 對應于 N-O 的伸縮振動,表明氧化胺的形成。
棉籽油酰胺氧化胺:質譜,m/z:亞油酰氧化胺 (C18:2): 367.2, [M+H] + ; 棕櫚酰氧化胺 (C16): 343.2, [M+H]+ ; 油酰氧化胺 (C18:1):391.1,[M+Na]+; 硬脂基棕櫚油酰氧化胺 (C16:1):379,[M+K]+。 紅外光譜 光譜 (KBr):3364.56 cm-1 處的譜帶 對應于NH的伸縮振動 和-OH的殘留水。 2923.92 cm-1 處的伸縮帶 和 2855.27 cm-1 表征 –CH3 和 –CH2 基團。 1,654.21 cm-1 處的伸縮帶 表征 C=O 和 C=C 基團。 1562.68 cm-1 處的伸縮帶 表征 NH 基團,以及 1459.42 cm-1 處的譜帶 分配給 C-H 的彎曲振動。 1276.35 cm-1 處的伸縮帶 表征 C-N 組。 樂隊出現在 963.52 厘米-1 對應于 N-O 的伸縮振動,表明氧化胺 形成。
3.3 表面活性
表面張力與氧化胺濃度(log c)的關系 圖 4 繪制了 25 oC 下源自天然植物油的表面活性劑。 圖 4 表面張力與表面活性劑對數的斜率有顯著變化 濃度曲線,表明表面活性劑開始聚集成膠束 在大量水溶液中。
圖 4. 表面張力與水溶液摩爾濃度的對數 蓖麻油酰胺氧化胺和棉籽油酰胺氧化胺在 25攝氏度
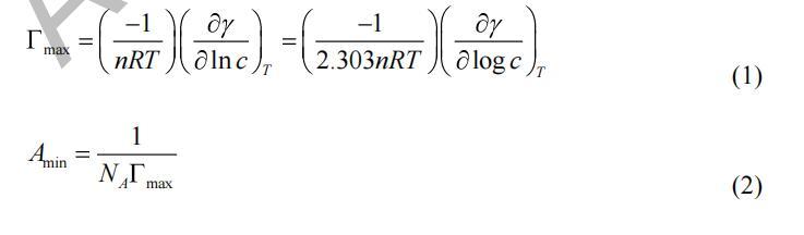
通過分析平臺獲得最小表面張力(γCMC)值 地塊的區域。 確定臨界膠束濃度 (CMC) 值 從表面張力的斷點與濃度的對數 曲線。 最大表面過量濃度(Γmax)和最小表面積 (Amin) 在空氣/水界面被每個表面活性劑分子占據的計算公式為 吉布斯吸附方程:
其中 R 是氣體常數,NA 是阿伏伽德羅數,T 是絕對溫度,并且 n 是溶質種類的數量,我們可以將其設置為 1。 膠束化的自由能 (ΔGmic) 由等式 (3) 計算。
γCMC、CMC、Γmax、Amin 和 ?Gmic 的值匯總在表 2 中。
表 2 蓖麻油氧化胺和棉籽油氧化胺的界面參數 25℃
由表2可知,蓖麻油酰胺氧化胺和棉籽油酰胺 氧化胺將水的表面張力降低到最小值約 在 5.06×10-5 mol/L 的濃度下為 32.48 mN/m,在 5.06×10-5 mol/L 的濃度下為 36.53 1.23×10-4 mol/L,表明它們的表面活性很高。 和....相比 一些已報道的氧化胺表面活性劑,[12] 如十六烷基二甲基 氧化胺、十八烷基二甲基氧化胺和椰油酰胺丙基二甲基胺 氧化物等,其CMC值通常在10-4范圍內 ~10-3 mol/L, 這些 CMC 值較低。 這可能是因為幾種酰胺的混合物 氧化胺具有協同增強的作用,提高了表面 活動總體上。 還可以發現,蓖麻油的 CMC 和 γ(CMC) 值 酰胺氧化胺遠低于棉籽油酰胺氧化胺,后者 可能是由于蓖麻油酰胺氧化胺中存在-OH。 [13] 在 另外,從表 2 中的數據可以看出,蓖麻油的Γmax 值 酰胺氧化胺低于棉籽油酰胺氧化胺,而 前者的Amin值大于后者。 這一結果可能歸因于 烷基鏈的長度。 此外,ΔGmic 的負值表明 9 在 25 oC 時,膠束化是自發的,這意味著這兩種天然植物油 酰胺胺氧化物在空氣-水界面有極好的吸收能力 在溶液中形成膠束。
3.4 乳化力
兩種不同的液體短語不能混合在一起的現象是 由于表面活性劑的作用而能夠混合的稱為乳化。 這 乳化機理可以解釋:表面活性劑的兩親特性 使其易于在油水界面吸附和富集,從而減少界面 張力并改變界面狀態,所以"油"和"水"這兩個詞可以 不能混在一起,可以混在一起。 蓖麻油酰胺氧化胺與棉籽油酰胺的水分離時間 氧化胺列于表3中。
表3 合成的植物油酰胺氧化胺水分離時間 和對照樣品 1202 和 AES
為了比較,還列出了正十二烷基二乙醇胺(1202)和醇醚硫酸鈉(AES)的水分離時間。 從表 3 可以看出,在表面活性劑濃度為 0.1% 時,蓖麻油酰胺 氧化胺和棉籽油酰胺氧化胺有更長的水分離時間 比AES,這意味著合成的兩種天然植物油酰胺胺 氧化物具有良好的乳化能力,尤其是蓖麻油酰胺氧化胺。 這 棉籽油酰胺氧化胺的乳化能力與1202相近。 還發現蓖麻油氧化胺的乳化能力優于蓖麻油氧化胺 棉籽油氧化胺,這也歸因于平均烷基鏈長。 [14] 此外,作為乳化劑,它們可以在較寬的pH范圍內使用。
基于天然植物油的酰胺胺氧化合物的合成表征及表面性質——摘要、介紹
基于天然植物油的酰胺胺氧化合物的合成表征及表面性質——實驗程序
基于天然植物油的酰胺胺氧化合物的合成表征及表面性質——結果和討論
基于天然植物油的酰胺胺氧化合物的合成表征及表面性質——結論、致謝!





