合作客戶/
拜耳公司 |
同濟大學 |
聯合大學 |
美國保潔 |
美國強生 |
瑞士羅氏 |
相關新聞Info
推薦新聞Info
-
> 微通道流動沸騰中表面張力的關鍵作用機制研究(三)
> 微通道流動沸騰中表面張力的關鍵作用機制研究(二)
> 微通道流動沸騰中表面張力的關鍵作用機制研究(一)
> 電場電壓對明膠液滴荷質比、表面張力的影響及預測模型構建(三)
> 電場電壓對明膠液滴荷質比、表面張力的影響及預測模型構建(二)
> 電場電壓對明膠液滴荷質比、表面張力的影響及預測模型構建(一)
> 破解固態電池界面之困:表面張力調控SiO?氣凝膠電解質原位構筑新策略
> 聯結基對磺酸鹽型雙子表面活性劑界面行為及泡沫穩定性的作用機制(三)
> 聯結基對磺酸鹽型雙子表面活性劑界面行為及泡沫穩定性的作用機制(二)
> 聯結基對磺酸鹽型雙子表面活性劑界面行為及泡沫穩定性的作用機制(一)
電場電壓對明膠液滴荷質比、表面張力的影響及預測模型構建(三)
來源:包裝工程(技術欄目) 瀏覽 65 次 發布時間:2026-01-23
2.3 不同外加電壓條件下膜液接觸角變化
為了形成具有良好黏附性和均勻性的可食性膜,成膜溶液對產品的潤濕性尤為重要。表4展示了溶液在不同電壓下荷電后滴落在石蠟表面的接觸角。由表4可知,無外加電壓作用下,tw100的接觸角為79.74°,隨著司盤20的增多,接觸角首先減小,在二者濃度相等時降至71.00°。此后,接觸角隨著司盤20占比增加反而上升。理論上,表面張力越小的液滴接觸角越小,但本實驗現象與前述規律不符。先前研究發現,疏水性司盤表面活性劑分子在液滴中傾向于向上遷移,導致其不能有效降低液滴下表面接觸角;而適量吐溫表面活性劑的加入能夠促進司盤在液滴中的均勻分布,從而減小接觸角。
荷電使得液滴的接觸角顯著降低(P<0.05),其中7kV的電壓能夠使去離子水液滴的接觸角降低約10°,明膠液滴接觸角下降約6°~9°。茹煜等建立了荷電霧滴的三維運動模型,發現在20kV的電壓下熒光液滴的接觸角能夠降低46°。本研究發現,當表面活性劑吐溫20與司盤20的濃度比為1:1(tw50),外加電壓為7kV時,明膠液滴在石蠟表面具有最好的潤濕性,接觸角為64.99°。
表4 不同外加電壓條件下膜液在石蠟表面的接觸角變化| 電壓/kV | 接觸角/(°) | |||||||
|---|---|---|---|---|---|---|---|---|
| 去離子水 | tw0 | tw20 | tw35 | tw50 | tw65 | tw80 | tw100 | |
| 0 | 106.08±0.15 | 78.57±0.08 | 77.10±0.03 | 73.67±0.23 | 71.00±0.05 | 76.68±0.04 | 80.70±0.14 | 79.74±0.11 |
| 1 | 105.24±0.03 | 77.38±0.23 | 76.70±0.11 | 72.87±0.11 | 70.31±0.08 | 76.10±0.03 | 80.18±0.03 | 79.15±0.05 |
| 2 | 102.69±0.15 | 76.33±0.05 | 76.02±0.01 | 71.64±0.12 | 69.94±0.05 | 75.88±0.03 | 79.01±0.17 | 78.71±0.06 |
| 3 | 101.6±0.12 | 75.25±0.18 | 75.20±0.22 | 71.09±0.05 | 69.21±0.11 | 75.49±0.08 | 77.45±0.21 | 77.95±0.11 |
| 4 | 100.65±0.10 | 73.30±0.17 | 73.15±0.16 | 70.15±0.13 | 68.02±0.17 | 74.13±0.07 | 75.23±0.27 | 76.93±0.14 |
| 5 | 99.68±0.20 | 72.17±0.05 | 72.03±0.14 | 72.03±0.14 | 66.83±0.08 | 72.25±0.11 | 73.85±0.16 | 73.91±0.21 |
| 6 | 97.89±0.12 | 70.98±0.14 | 70.69±0.11 | 70.69±0.11 | 66.23±0.07 | 69.16±0.24 | 72.61±0.10 | 72.75±0.13 |
| 7 | 96.91±0.10 | 69.48±0.27 | 69.67±0.23 | 69.67±0.23 | 64.99±0.23 | 67.93±0.17 | 71.56±0.13 | 71.98±0.09 |
2.4 機器學習分析
液滴的荷質比為荷電后的本質特性,而表面張力和接觸角則為荷電液滴表現的外在特性。為了訓練機器學習模型,以荷質比作為輸入特征,將表面張力、接觸角測量值轉化為神經網絡可以處理的張量后進行訓練,使模型預測值盡可能地接近實際測量值,實驗結果如表5所示。無論是表面張力還是接觸角,SVM-linear的R2最低,為0.9384和0.9436,表明該模型預測效果最差。
SVM-linear作為一種基于線性核函數的支持向量機模型,對噪聲和異常值非常敏感,且參數調優較為困難。DNN的R2最接近1,且MSE值和MAE值最小(表面張力的MSE值和MAE值分別為0.0145和0.0813,接觸角的MSE值和MAE值分別為0.037 4和 0.1510),表明該模型預測性能最好。DNN具有非線性特征學習、自動特征提取和分層特征學習等優勢,能夠適應大規模數據并進行調優。
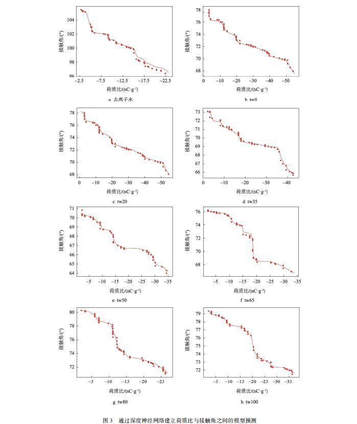
Pfisterer等通過DNN建立評估商業果泥食品的營養密度,其平均準確率達92.2%。荷質比與表面張力、接觸角的模型預測如圖2、圖3所示,可以發現模型對實際數據具有良好的擬合效果。通過模型曲線可以確定,在任意荷質比下,去離子水液滴與明膠液滴的表面張力及其在石蠟表面的接觸角,為預測可食性膜液在食品表面的潤濕黏附性提供了思路和手段。
表5 不同模型對表面張力和接觸角預測值的準確性| 模型 | 表面張力 | 接觸角 | ||||
|---|---|---|---|---|---|---|
| MSE值 | MAE值 | R2 | MSE值 | MAE值 | R2 | |
| DNN | 0.0145 | 0.0813 | 0.9947 | 0.0374 | 0.1510 | 0.9895 |
| LR | 0.1569 | 0.3402 | 0.9422 | 0.1930 | 0.3570 | 0.9457 |
| SVM-rbf | 0.0585 | 0.1814 | 0.9785 | 0.0714 | 0.2001 | 0.9799 |
| SVM-linear | 0.1672 | 0.3211 | 0.9384 | 0.2005 | 0.3500 | 0.9436 |
| DTR | 0.0205 | 0.100 | 0.9925 | 0.0570 | 0.2084 | 0.9840 |
| GBR | 0.0425 | 0.1824 | 0.9843 | 0.0578 | 0.2072 | 0.9837 |
| KNN | 0.0341 | 0.109 | 0.9875 | 0.0405 | 0.1450 | 0.9886 |
圖2 通過深度神經網絡建立荷質比與表面張力之間的模型預測
圖3 通過深度神經網絡建立荷質比與接觸角之間的模型預測
3 結語
本文探究了在不同電源電壓下通過感應荷電的方式對明膠液滴荷質比、表面張力及接觸角的影響,并通過深度神經網絡建立模型預測。結果發現,靜電荷電能有效提高明膠液滴的潤濕性能,當外加電壓為7kV時,明膠成膜液滴的表面張力可以下降9%~14%,接觸角能夠下降8%~12%。從而為形成更均勻、更完整的可食性涂膜提供新的手段。在明膠的質量分數為3%、表面活性劑的質量分數為0.05%、吐溫20與司盤20濃度比為1:1、電壓為0~7kV時,深度神經網絡模型對膜液荷質比與表面張力或接觸角的關系具有良好的預測作用,可用于指導實踐操作。





