合作客戶/
拜耳公司 |
同濟大學 |
聯合大學 |
美國保潔 |
美國強生 |
瑞士羅氏 |
相關新聞Info
推薦新聞Info
-
> 微通道流動沸騰中表面張力的關鍵作用機制研究(三)
> 微通道流動沸騰中表面張力的關鍵作用機制研究(二)
> 微通道流動沸騰中表面張力的關鍵作用機制研究(一)
> 電場電壓對明膠液滴荷質比、表面張力的影響及預測模型構建(三)
> 電場電壓對明膠液滴荷質比、表面張力的影響及預測模型構建(二)
> 電場電壓對明膠液滴荷質比、表面張力的影響及預測模型構建(一)
> 破解固態電池界面之困:表面張力調控SiO?氣凝膠電解質原位構筑新策略
> 聯結基對磺酸鹽型雙子表面活性劑界面行為及泡沫穩定性的作用機制(三)
> 聯結基對磺酸鹽型雙子表面活性劑界面行為及泡沫穩定性的作用機制(二)
> 聯結基對磺酸鹽型雙子表面活性劑界面行為及泡沫穩定性的作用機制(一)
快速理解表面張力及其應用(干活)
來源:品質人生質量之聲 瀏覽 3459 次 發布時間:2022-12-13
表面張力這個物理特性,在實際工藝應用中常常遇到,涉及到過程質量控制的產生機理,作為質量人也不得不了解其產生機理和識別以及控制方法,既物理自然規律,是無法消除的,我們只能利用這個自然規律和物理特性,為我們過程質量所用,不給過程質量添亂,特別是在表面處理制程中,需要特別留意。下面是通過各方搜集整理匯總而成,作為學習記錄分享給各位朋友,希望同樣也對你有幫助,如有遺漏和錯誤之處,歡迎指出。
我們先來了解一下表面張力的基本常識,不過您也可以通過搜索引擎搜到更多更詳細的科普信息,下面還是累述一遍,僅僅分享給大家表面張力的基本知識。
關于表面張力:
多相體系中相之間存在著界面。習慣上人們僅將氣---液,氣---固界面稱為表面。
通常,由于環境不同,處于界面的分子與處于相本體內的分子所受力是不同的。在水內部的一個水分子受到周圍水分子的作用力的合力為零,但在表面的一個水分子卻不如此。因上層空間氣相分子對它的吸引力小于內部液相分子對它的吸引力,所以該分子所受合力不等于零,其合力方向垂直指向液體內部,結果導致液體表面具有自動縮小的趨勢,這種收縮力稱為表面張力。將水分散成霧滴,即擴大其表面,有許多內部水分子移到表面,就必須克服這種力對體系做功——表面功。顯然這樣的分散體系便儲存著較多的表面能。
表面張力是物質的特性,其大小與溫度和界面兩相物質的性質有關。
在293K下水的表面張力為72.75×10-3 N·m-1,乙醇為22.32×10-3 N·m-1,正丁醇為24.6×10-3N·m-1,而水-正丁醇(4.1‰)的界面張力為34×10-3 N·m-1。
凡作用于液體表面,使液體表面積縮小的力,稱為液體表面張力。它產生的原因是液體跟氣體接觸的表面存在一個薄層,叫做表面層,表面層里的分子比液體內部稀疏,分子間的距離比液體內部大一些,分子間的相互作用表現為引力。就象你要把彈簧拉開些,彈簧反而表現具有收縮的趨勢。正是因為這種張力的存在,有些小昆蟲才能無拘無束地在水面上行走自如。
液體表面張力的影響因素有:
1)無機液體的表面張力比有機液體的表面張力大的多;
2)水的表面張力72.8mN/m(20℃);
3)有機液體的表面張力都小于水;
4)含氮、氧等元素的有機液體的表面張力較大;
5)含F、Si的液體表面張力最小;
6)分子量大表面張力大;
7)水溶液:如果含有無機鹽,表面張力比水大;含有有機物,表面張力比水小。
8)外因:溫度升高表面張力減小;
9)壓力和表面張力沒有關系。
定義及相關:
(1)定義或解釋
①促使液體表面收縮的力叫做表面張力。
②液體表面相鄰兩部分之間,單位長度內互相牽引的力。
(2)單位
表面張力的單位常用達因(F/m)。
(3)說明
①表面張力的方向和液面相切,并和兩部分的分界線垂直,如果液面是平面,表面張力就在這個平面上。如果液面是曲面,表面張力就在這個曲面的切面上。
②表面張力是分子力的一種表現。它發生在液體和氣體接觸時的邊界部分。是由于表面層的液體分子處于特殊情況決定的。液體內部的分子和分子間幾乎是緊挨著的,分子間經常保持平衡距離,稍遠一些就相吸,稍近一些就相斥,這就決定了液體分子不像氣體分子那樣可以無限擴散,而只能在平衡位置附近振動和旋轉。
在液體表面附近的分子由于只顯著受到液體內側分子的作用,受力不均,使速度較大的分子很容易沖出液面,成為蒸汽,結果在液體表面層(跟氣體接觸的液體薄層)的分子分布比內部分子分布來得稀疏。相對于液體內部分子的分布來說,它們處在特殊的情況中。
表面層分子間的斥力隨它們彼此間的距離增大而減小,在這個特殊層中分子間的引力作用占優勢。因此,如果在液體表面上任意劃一條分界線MN把液面分成a、b兩部分,這種表面層中任何兩部分的相互牽引力,促使了液體表面層具有收縮的趨勢,由于表面張力的作用,液體表面總是趨向于盡可能縮小,因此空氣中的小液滴往往呈圓球形狀。
③表面張力F的大小跟分界線MN的長度成正比。可寫成F=σL或σ=F/L。
比值σ叫做表面張力系數,它的單位常用dyn/cm。在數值上表面張力系數就等于液體表面相鄰兩部分間單位長度的相互牽引力。
表面張力在自然界中:
在自然界中,我們可以看到很多表面張力的現象和對張力的運用。比如,露水總是盡可能的呈球型(題圖),而某些昆蟲則利用表面張力可以漂浮在水面上。
在我們的生活中,有許多地方都體現出液體的表面張力:
表面張力的實驗:這個實驗,也可以說是一個關于表面張力的小游戲。先找一個朋友和你一起來進行這個游戲,然后準備一杯水(把水加到杯子的邊緣處,目視水至杯口齊平處),16枚1元的硬幣(也可以更多)。然后是這個游戲的規則,和朋友每人一次向杯子里輪流投放硬幣,每次投放硬幣數沒有限制,可以一次放進1枚,可以2或3枚,或者更多,直到誰先把水溢出杯子為止。投放硬幣的時候用拇指和食指捏住硬幣輕輕的放進盛滿水的杯子。本人最多一次投放了16枚1元硬幣。呵呵,好的大家去試試吧。
來試試另外幾個游戲,看看表面張力是個啥樣子的。
入幾枚1元的硬幣,前提是保證水不會溢出來。
在一杯裝滿水的杯子內能漂浮幾枚1角的硬幣?
3.回形針能浮在水面上嗎?
水黽在水面運動,既不會劃破水面,也不會浸濕自己的腿。它在水面上每秒鐘可滑行100倍于身體長度的距離,這相當于一位身高1.8米的人以每小時400英里的速度游泳。
如何理解表面張力?
這是來自知乎的一段文章,介紹表面張力比較清楚,摘下匯總在一起記錄下來。
作者:Type transient來源:知乎(著作權歸作者所有。商業轉載請聯系作者獲得授權,非商業轉載請注明出處。)
表面張力存在于,比如非常小的細管內的毛細現象,比如肥皂泡以及涉及液體與固體之間的浸潤與非浸潤的情況等,來一一說明
1.在溫度一定時,不同液體的表面張力會不同
比如下面表格在10攝氏度時不同液體的表面張力差異很大
2.同種液體,在不同溫度時表面張力會不同
比如下面表格溫度越低表面張力越大
3.表面張力的測量往往選取最大值
由于距離不同表現出的表面張力也不同,因此測量往往取最大值,也就是右方圖中的Fmax
4.接觸角
在在三種介質的邊界面相交于一點的情形中,接觸線受到三個不同邊界面的表面張力,為了維持平衡,表面張力的合力在這些方向上的分量必須等于零,這就要求三個邊界面交成一定的角度。
由于接觸角的不同和浸潤與非浸潤的情況就可以解釋題主所說的完全不同的水滴效果
常見的有下圖三種情況
當角度>160度時就出現了蓮花效應(lotus effect)
表面張力的行業應用舉例
1.表面張力與塗佈
塗佈製程的主要問題,基本上即是在討論固體基材與液體塗膜間的各種表/界面性質,以下是一些常見的"表面張力和塗佈"相關的現象及問題:
1).對流問題(Benard Convection Cell):
在塗佈後,由於塗料中的溶劑揮發而了產生溫度差;同時表面及底層的溶劑含量也差生濃度差,因此產生了表面張力的梯度及對流的現象,塗料液體由低表面張力的底部流向高表面張力的表層。
2).厚邊(Fat edge):
在塗佈後,由於塗料的邊緣其溶劑揮發的速率相對較內部快,因此造成低表面張力區的塗料流向邊緣而堆積,使邊緣過厚的現象。
3).凹陷及針孔(Craters and Pinholes):
由於在塗佈過程中受到較低表面張力的物體(如:油滴、灰塵等)污染,而使污染物周圍的塗料流向較高表面張力的方向,形成了像火山口的凹陷(Craters)。如果污染物是在塗佈之前即存在於基材上,則會形成更嚴重的針孔(Pinholes)。
2.表面張力與電鍍
於各種電鍍製程中,電鍍液或化學液的潤濕性及品質,往往會決定電鍍後表面鍍層的均勻與否及附著力的好壞;尤其在做精密的物件的電鍍時,若電鍍液的表面張力太高、潤濕性不好,則無法充分的潤濕進入微細的孔隙中,或因潤濕性差而造成電鍍液中的離子無法做有效的交換,便會造成部份的區域沒鍍好或附著性差。
而電鍍液的潤濕性是可由液體的表面張力來做控制及分析,由表面張力的理論得知,若電鍍液的表面張力愈小,表示電鍍液的內聚力愈小、愈容易滲入細小的縫隙裡面、也愈容易於被鍍物表面潤濕讓金屬離子鍍上去。因此為了使電鍍液的表面張力降低或是增加電鍍後的品質,通常於電鍍液中會加入有機添加劑(光澤劑,結構改良劑,潤濕劑..等),其中潤濕劑即是在使鍍液表面張力降低的作用。然而當這類界面活性劑添加超過CMC點後,表面張力即不再改變(如下圖)。此時過量的添加不但沒達到效果反而增加了生產成本。因此CMC點便可作為電鍍液的監控標準值,來決定何時添加及添加的量。
不論是在學術研究及工業的製程上,表面張力所導致的各種問題及相關性質,早已被廣泛的提出及探討,隨著科學及工業的進步,各種新的材料及新的製程更不斷地出現,於此同時也衍生出新的且更複雜的表/界面問題,因此如何有效地應用並控制表面張力這材料的基本性質,將持續會是一個重要的課題。
液體表面張力的測定方法
液體表面張力的測定方法分靜力學法和動力學法。靜力學法有毛細管上升法、du Noüy環法、Wilhelmy盤法、旋滴法、懸滴法、滴體積法、最大氣泡壓力法;動力學法有震蕩射流法、毛細管波法。其中毛細管上升法和最大氣泡壓力法不能用來測液-液界面張力。Wilhelmy盤法,最大氣泡壓力法,震蕩射流法,毛細管波法可以用來測定動態表面張力。由于動力學法本身較復雜,測試精度不高,而先前的數據采集與處理手段都不夠先進,致使此類測定方法成功應用的實例很少。因此,迄今為止,實際生產中多采用靜力學測定方法。
1.毛細管上升法:
測定原理:
將一支毛細管插入液體中,液體將沿毛細管上升,升到一定高度后,毛細管內外液體將達到平衡狀態,液體就不再上升了。此時,液面對液體所施加的向上的拉力與液體向下的力相等。則表面張力:γ=ρghr/(2cosθ)
式中γ為表面張力,r為毛細管的半徑,h為毛細管中液面上升的高度,ρ為測量液體的密度,g為當地的重力加速度,θ為液體與管壁的接觸角。
2.Wilhelmy盤法:
用鉑片、云母片或顯微鏡蓋玻片掛在扭力天平或鏈式天平上,測定當片的底邊平行面剛好接觸液面時的壓力,由此得表面張力,公式為:
式中,W總為薄片與液面拉脫時的最大拉力,W片為薄片的重力,l為薄片的寬度,薄片與液體的接觸的周長近似為2l,φ為薄片與液體的接觸角
3.懸滴法:
懸滴法是根據在水平面上自然形成的液滴形狀計算表面張力。在一定平面上,液滴形狀與液體表面張力和密度有直接關系。由Laplace公式,描述在任意的一點P曲面內外壓差為:
式中R1,R2為液滴的主曲率半徑;z為以液滴頂點O為原點,液滴表面上P的垂直坐標;P0為頂點O處的靜壓力。
定義:S=ds/de
式中de為懸滴的最大直徑,ds為離頂點距離為de處懸滴截面的直徑
式中b為液滴頂點O處的曲率半徑。此式最早是由Andreas,Hauser和Tucker[15]提出,若相對應與懸滴的S值得到的1/H為已知,即可求出表(界)面張力。應用Bashforth-Adams法,即可算出作為S的函數的1/H值。因為可采用定期攝影或測量ds/de數值隨時間的變化,懸滴法可方便地用于測定表(界)面張力。
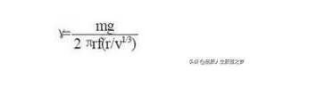
4.滴體積法
當一滴液體從毛細管滴頭滴下時,液滴的重力與液滴的表面張力以及滴頭的大小有關。Tate首先提出了表示液滴重力(mg)的簡單關系式:mg=2πrγ,實驗結果表明,實際體積比按式(7)式計算的體積小得多。因此Harkins就引入了校正因子
,則更精確的表面張力可以表示為:
其中m為液滴的質量,V為液滴體積,f為校正因子,可查表得到[16,23]。只要測出數滴液體的體積,利用(13)式就可計算出該液體的表面張力。
表面張力的質量控制
在工業生產中,金屬零部件進行表面處理或噴涂前都必須保證高度清潔才不會后續的工序造成影響,為了滿足這些高的清潔度要求,零件的清洗環節必不可少,且要求高效可靠。這就要求清洗劑的濃度須保持在適當的濃度范圍之內,不能過高,也不能太低,過高會導致產生新的污染,生產成本升高;太低會達不到清潔的要求。只有滿足這些條件才不會對后續的處理工藝造成不利影響。
PCB表面張力問題(對液體張力的反作用)
測量PCB表面的張力主要是通過便攜式的測試筆,里面含有特定的張力測試液體,像是通常我們使用的大頭油性筆似的,測試時只要輕輕在需要測試的表面畫一條直線,待2-3秒鐘過后,觀察畫的直線是否附著均勻,沒有收縮成水珠狀,說明達到了該測試筆設定的張力,張力的單位為達因/厘米(dyne/cm),有時又稱測試筆為達因筆。具體測試筆品牌這里就不給做廣告了,這個測試在市面上也很容易買到。測試的方法也比較簡單,為了確定張力的范圍,一般必須準備至少2只測試,一般測試的張力區間在+/-2達因/厘米之間。
PCB表面張力影響防潮劑的涂覆,出現的失效現象主要是氣泡或者噴涂不均勻等問題。表面張力太小會導致防潮劑涂覆不均勻,還會出現氣泡問題等問題。同時也不能過高,過高也會導致涂覆不均勻等,一般設定在36~40之間,與之相關的還有PCB涂覆的綠油,以及表面附著的有機物的多少,也影響最終PCB表面的張力。在PCB的制程控制中都要注意,以免對后續工序造成不必要的影響。





