合作客戶/
拜耳公司 |
同濟大學 |
聯合大學 |
美國保潔 |
美國強生 |
瑞士羅氏 |
相關新聞Info
推薦新聞Info
-
> 微通道流動沸騰中表面張力的關鍵作用機制研究(三)
> 微通道流動沸騰中表面張力的關鍵作用機制研究(二)
> 微通道流動沸騰中表面張力的關鍵作用機制研究(一)
> 電場電壓對明膠液滴荷質比、表面張力的影響及預測模型構建(三)
> 電場電壓對明膠液滴荷質比、表面張力的影響及預測模型構建(二)
> 電場電壓對明膠液滴荷質比、表面張力的影響及預測模型構建(一)
> 破解固態電池界面之困:表面張力調控SiO?氣凝膠電解質原位構筑新策略
> 聯結基對磺酸鹽型雙子表面活性劑界面行為及泡沫穩定性的作用機制(三)
> 聯結基對磺酸鹽型雙子表面活性劑界面行為及泡沫穩定性的作用機制(二)
> 聯結基對磺酸鹽型雙子表面活性劑界面行為及泡沫穩定性的作用機制(一)
泡沫的微觀結構及演變動力學
來源:知乎阿黃sweetgirl 瀏覽 2553 次 發布時間:2022-06-17
前面有一篇短文中介紹了水中的自由氣泡的演變過程。然而,在實際生活中,我們見到和經常使用的卻是大量氣泡組成的泡沫。本文介紹一下泡沫的微觀結構靜力學及其演變過程分析。
泡沫一般結構如圖1所示,由于浮力作用,大量的氣泡漂浮在液體的表層,從上往下含有的氣泡的體積分數依次減小。在泡沫的研究中,把液體體積含量極少(通常少于1%)的泡沫成為干泡沫,把含量介于1%到約30%左右的泡沫成為濕泡沫。對于氣泡液體,幾乎所有的氣泡可以保持為球形,不用考慮氣泡之間直接接觸的氣泡膜問題,這不屬于泡沫物理學研究的范疇。如圖1所示,泡沫的結構尺度跨越10個數量級,從宏觀泡沫的演變規律,到微觀泡沫界面的穩定機制,對于泡沫的研究橫跨了物理,材料,界面化學等多個學科。
圖1.不同尺度下的泡沫結構及穩定機制(Ref 1)(a)整個泡沫結構,尺度為0.01 m至1 m。(b)干泡沫的放大部分,尺度為0.1 mm至1 cm。(c)液體通道,也叫Plateau邊界,尺度為1 um至0.1 mm以及肥皂泡膜,尺度為10 nm到1 um。(d)氣液界面的分子層結構,尺度為0.1 nm到10 nm。e-f)氣泡膜在界面靜電力排斥作用即楔裂壓(disjoining pressure)的作用下而穩定存在。
(1)泡沫的結構規律
圖2 Plateau及其干泡沫靜態結構力學三定律(Ref 1)
泡沫物理學集中于研究泡沫的結構、靜力學、動態演變及排液等內容。它是一個十分古老的學科,由比利時物理學家Plateau在19世紀中葉開創(圖2a)。Plateau在數十年的失明的時光里,依舊通過指導他侄子做試驗,堅持研究肥皂泡薄膜的幾何形態及其背后隱藏的力學規律。1873年,他和侄子把自己的實驗現象和分析結果做了系統整理,以法文發表,從此把對泡沫結構的研究由定性印象推到了量化階段,開創了泡沫物理學(Ref 2)。在泡沫靜力學方面,Plateau的主要貢獻在于其提出了干泡沫的靜態結構力學的三定律,它是后續泡沫研究的基石:
1)膜力學平衡:肥皂膜是光滑的,它的曲率半徑是處處相等的,其大小可以用Laplace方程去計算。對于2維泡沫,每條氣泡邊界都是圓弧的一部分(圖2b);
2)邊力學平衡:三個肥皂膜相互接觸總是形成三條邊,且任意三條邊的夾角必須為120°(圖2b),此時力平衡并且體系能量最低。
3)頂點力學平衡:當四條邊在空間形成一個頂點時,此頂點處的四條邊任意兩條的夾角都為109.5°,只有這個角度才能使膜以120°角互相連接達到力平衡(圖2c)。
(2)泡沫的演變
Plateau的泡沫結構力學三定律對于后續泡沫的研究具有重要的意義。它直接引出了一系列有關氣泡的推論。
比如,依據Plateau第一定律,可以推出,相鄰三個相互接觸的氣泡的三條邊界上的曲率之和為零(Curvature sum rule)。其中最重要地是1952年von Neumann利用它推導出了二維泡沫的演變方程(Ref 3)。
推導二維泡沫的演變方程需要用到幾何荷數(Geometry charge)的概念。下面我們首先介紹一下幾何荷數的定義。
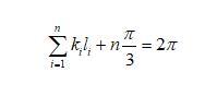
假設二維干泡沫中的任一氣泡如圖3b所示,氣泡的邊數為n,從a點開始,再回到a的邊長分別標記為l1到ln,每邊所對應的曲率為k1到kn(Plateau第一定律)。現在假設有一點從a點沿著邊向b運動,到b點時,所走的路徑為l1,轉動的角度為這條邊所對應的圓心角(向外為正,向內為負值),為k1*l1。此時要想繼續沿著邊運動,需要向內轉動π/3角度(根據Plateau第二定律),如圖3b所示。轉動后繼續運動,直到到達原來的點a。此過程,n條邊總共在頂點處轉動的角度為nπ/3,在邊上轉動的角度為
此點的運動方向變化總共為2π,可建立關系:
則幾何荷數q的定義為:
圖3 Von Neumann及二維干泡沫演化規律(Ref 1)
幾何荷數的含義即是每邊所對應的圓心角之和,其中對于氣泡而言往外凸起的邊為正值,往里凹下的邊其圓心角為負值。幾何荷數能夠反應出氣泡的平均凹凸程度,是對氣泡平均形貌的一個表征。通過公式可以看出,邊長大于6的氣泡平均是凹下的,邊長等于6的氣泡平均是平的,而變長小于6的氣泡,平均起來是凸起的,如圖3c所示。
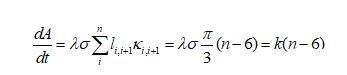
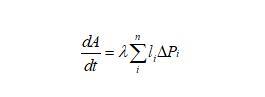
下面我們推導二維泡沫的演變方程,由于任一氣泡跟周圍氣泡的氣體交換都是通過氣泡邊界進行的,則氣泡體積(二維氣泡用面積表示)隨時間的變化率跟邊界長度和邊界上的壓強差都有關系,可以表示為
式中λ為氣體傳輸系數,根據Laplace方程可得
結合上式及上面q的推導過程公式,可得
二維泡沫的演變方程表明,氣泡的變化只和其邊的個數有關,對于邊長大于6的氣泡,隨著演化體積會增大,邊長等于6的氣泡,其體積保持不變。而對于邊長小于6的氣泡,其體積會逐漸變小。注意,這兒體積保持不變,不代表氣泡不與外界發生氣體傳輸,只是表示進入氣泡和出去氣泡的體積是相等的,總體顯示體積顯示不變,也不代表氣泡的邊界不發生移動。
Von Neumann的二維演變方程的著名及其重要性是它不單單適用于二維泡沫,凡是具有網格結構的二維體系,界面移動受界面張力調控,其速率受界面曲率調控的情形都可以用這個方程去表達。這種情形在自然界中是十分普遍的,比如如水上面油脂分子層的演化、熔化時晶界的變化、冰晶的生長等(Ref 5,Ref 6)。
自從Von Neumann推出了二維泡沫的演變方程以來,人們一直希望能推導出三維泡沫的演變方程,直到50多年后的2007年,美國葉史瓦大學MacPherson等在Nature上發表了一篇題為“把von Neumann方程拓展到三維微結構粗化的研究”(The von Neumann relation generalized to coarsening of three-dimensional microstructures)的論文,完成了對三維泡沫體系演變方程的推導(Ref 7)。之后,加利福尼亞大學的Saye等于2013年在Science上發表論文,從模擬上實現了三維泡沫的結構重排、排液、破裂等一系列過程(圖4),在泡沫演變歷史上具有劃時代的意義(Ref 4)。至此,人們對泡沫演變的規律得到了充分的認識。
圖4目前對三維干泡沫演變的模擬研究65
Ref 1:I.Cantat,S.et al.Foams:Structure and Dynamics.Oxford University Press,Oxford,(20
Ref 1:I.Cantat,S.et al.Foams:Structure and Dynamics.Oxford University Press,Oxford,(2013).
Ref2:孫其誠&譚靚慧.泡沫物理學史拾萃.物理37,473-481(2008).
Ref3:Neumann,J.v.in Metal Interfaces(ed.Herring,C.),108-110(Americal Society for Metals,Cleveland,1952).
Ref 4:Saye,R.I.&Sethian,a.J.A.Multiscale Modeling of Membrane Rearrangement,Drainage,and Rupture in Evolving Foams.Science 340,720(2013).
Ref 5:Stavans,J.The evolution of cellular structures.Rep.Prog.Phys.56,733-789(1993).
Ref 6 Glazier,J.A.&Weaire,D.the kinetics of cellular patterns.J.Phys.:Condens.Matter 4,1867-1894(1992).
Ref 7:MacPherson,R.D.&Srolovitz,D.J.The von Neumann relation generalized to coarsening of three-dimensional microstructures.Nature 446,1053-1055(2007).
注:本文節選自本人博士畢業論文前言部分。





