合作客戶/
拜耳公司 |
同濟大學 |
聯合大學 |
美國保潔 |
美國強生 |
瑞士羅氏 |
相關新聞Info
推薦新聞Info
-
> 微通道流動沸騰中表面張力的關鍵作用機制研究(三)
> 微通道流動沸騰中表面張力的關鍵作用機制研究(二)
> 微通道流動沸騰中表面張力的關鍵作用機制研究(一)
> 電場電壓對明膠液滴荷質比、表面張力的影響及預測模型構建(三)
> 電場電壓對明膠液滴荷質比、表面張力的影響及預測模型構建(二)
> 電場電壓對明膠液滴荷質比、表面張力的影響及預測模型構建(一)
> 破解固態電池界面之困:表面張力調控SiO?氣凝膠電解質原位構筑新策略
> 聯結基對磺酸鹽型雙子表面活性劑界面行為及泡沫穩定性的作用機制(三)
> 聯結基對磺酸鹽型雙子表面活性劑界面行為及泡沫穩定性的作用機制(二)
> 聯結基對磺酸鹽型雙子表面活性劑界面行為及泡沫穩定性的作用機制(一)
礦井水質硬度標準及與含鹽泡沫體系的界面張力的關聯性研究(二)
來源:煤炭科學技術 瀏覽 104 次 發布時間:2026-01-19
1.2模擬參數設置
1)模型參數與構建
采用Materials Studio中的Visualizer模塊構建模擬所需的分子及離子,并利用Forcite模塊分配立場與電荷,圖1a為各種分子及離子優化后的模型。其次,利用Crystals模塊創建含有優化好的1個MSDS陰離子與1個AEO-5分子的9×18×30?3(a×b×c)晶胞結構,通過Symmetry中的Supercell功能,將構建好的晶胞結構沿a、b和c方向分別擴展6、3和1個,得到1個54×54×30?3的表面活性劑分子層,如圖1b所示。然后,利用Amorphous Cell模塊構建1個由1 500個水分子和無機鹽離子組成,尺寸為54×54×30?3的水盒子,如圖1c所示。最后,依據甘建建立的泡沫液膜模型,利用Build Layer功能,得到54×54×200?3的“三明治”泡沫模型,如圖1d所示。基于截斷半徑要求,模擬體系Z軸方向水層上下各添加5 nm厚度的真空層。
圖1模型參數與構建
2)動力學參數設置
分子動力學模擬過程由Forcite模塊完成。初始泡沫體系的結構并不穩定,需對泡沫初始模型進行結構優化以獲得穩定的低能量泡沫結構。在分子動力學模擬開始前,利用Forcite模塊中的Anneal對幾何優化后的泡沫模型進行退火操作。利用Dynamic進行分子動力學模擬,系綜、力場、溫度等相關參數設置情況見表1。
表1模擬參數設置
2.結果與討論
2.1界面張力
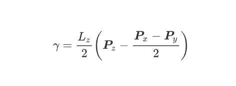
通常在分子動力學模擬中,研究人員通過計算體系壓力張量的分量來得到氣液體系的界面張力,具體可參見式(1):
式中:γ為泡沫液膜的表面張力;Px,Py和Pz分別為壓力張量在x,y和z方向的分量;Lz為模型中z軸方向的長度。
通過腳本文件統計各泡沫體系平衡后200幀的軌跡文件,得到不同濃度含鹽泡沫體系界面張力的變化情況,如圖2所示。由圖2可知,不同濃度含鹽泡沫體系的界面張力隨濃度的增加而增大,低、中濃度時泡沫體系界面張力從大到小依次為Ca2+>Mg2+>Na+,而高濃度時泡沫體系界面張力從大到小依次為Mg2+>Ca2+>Na+。界面張力是體現泡沫穩定性的相關參數之一。界面張力越小,吸附在氣液界面處的表面活性劑活性越高,泡沫越穩定。各泡沫體系界面張力的變化表明,硬水離子的存在會對泡沫穩定性產生不利影響,且Ca2+在低、中濃度時產生的負面效果較Mg2+更明顯,而高濃度時,Mg2+較Ca2+產生的負面效果更明顯。
圖2不同濃度含鹽泡沫體系的界面張力
2.2界面結構
界面結構可通過相對數密度分布表征,計算體系中水分子沿界面垂直方向的分布可得出泡沫界面結構。由于泡沫模型關于水層中心對稱,故在計算水分子沿Z軸相對數密度分布時,以水層中心位置為原點,取水層上、下層數據的均值進行作圖,得到不同濃度含鹽泡沫體系中水分子相對數密度沿Z軸的分布情況,如圖3所示。
圖3不同濃度含鹽泡沫體系中水分子的相對密度曲線
由圖3,水分子相對數密度從液相到氣相逐漸減少到0,在液相區域內,離子濃度越高水分子的相對數密度越低。其中Ca2+與Mg2+泡沫體系的變化規律大體一致,而Na+泡沫體系則有所差異。對于Ca2+、Mg2+泡沫體系而言,低濃度時水分子的相對數密度在除氣相區域外的任何區域內均大于中、高濃度時的相對數密度,中、高濃度曲線在氣液界面區域內交于1點后,中濃度時水分子的相對數密度開始小于高濃度時水分子的相對數密度。但中、高濃度曲線的交匯處明顯不同,Ca2+泡沫體系在9.2?附近產生交匯,Mg2+泡沫體系在7.2?附近產生交匯,兩者交匯時水分子的相對數密度均為8.1。Na+泡沫體系中,高濃度時水分子的相對數密度在除氣相區域外的任何區域內均小于中、低濃度時的相對數密度,中、高濃度曲線在氣液界面區域內交于1點后,中濃度時水分子的相對數密度開始大于高濃度中水分子的相對數密度。
溶劑密度從10%升到90%的范圍為界面層,通過相對數密度分布曲線可估算出界面厚度。不同濃度含鹽泡沫體系界面厚度變化的火柴圖,如圖4所示。由圖4可知,不同濃度含鹽泡沫體系界面厚度隨濃度的變化規律一致。即當離子種類一定時,高濃度含鹽泡沫體系的界面厚度最小,低濃度次之,中濃度最大。對于低濃度含鹽泡沫體系而言,Mg2+的界面厚度最大,Ca2+次之,Na+最小;中濃度含鹽泡沫體系中,Ca2+的界面厚度最大,Mg2+次之,Na+最小;高濃度含鹽泡沫體系中,Mg2+的界面厚度最大,Ca2+次之,Na+最小。綜上可知,硬水離子的存在使得泡沫界面厚度有所增加,這意味著界面中水分子內部的相互作用減弱,使得界面水分子受到的指向泡沫內部的不平衡拉力減弱。
圖4不同濃度含鹽泡沫體系界面厚度的火柴圖
3.結論
礦井水質硬度越高,泡沫體系的界面張力越大,高硬水條件下鈣、鎂泡沫體系的界面張力平均值大于100 mN/N,該條件下的界面厚度最薄,抗干擾能力最低,泡沫穩定性最差。





