合作客戶/
拜耳公司 |
同濟大學 |
聯合大學 |
美國保潔 |
美國強生 |
瑞士羅氏 |
相關新聞Info
推薦新聞Info
-
> 微通道流動沸騰中表面張力的關鍵作用機制研究(三)
> 微通道流動沸騰中表面張力的關鍵作用機制研究(二)
> 微通道流動沸騰中表面張力的關鍵作用機制研究(一)
> 電場電壓對明膠液滴荷質比、表面張力的影響及預測模型構建(三)
> 電場電壓對明膠液滴荷質比、表面張力的影響及預測模型構建(二)
> 電場電壓對明膠液滴荷質比、表面張力的影響及預測模型構建(一)
> 破解固態電池界面之困:表面張力調控SiO?氣凝膠電解質原位構筑新策略
> 聯結基對磺酸鹽型雙子表面活性劑界面行為及泡沫穩定性的作用機制(三)
> 聯結基對磺酸鹽型雙子表面活性劑界面行為及泡沫穩定性的作用機制(二)
> 聯結基對磺酸鹽型雙子表面活性劑界面行為及泡沫穩定性的作用機制(一)
香蘭素基聚氧乙烯醚動態表面張力測定及在氣/液界面的吸附行為研究(一)
來源:日用化學工業 瀏覽 717 次 發布時間:2025-08-05
摘要:通過最大氣泡壓力法測定香蘭素基聚氧乙烯醚(VAEO)的動態表面張力,利用Word-Tordai方程研究其在氣/液界面的吸附行為。結果表明,質量濃度低于臨界膠束濃度(cmc)時,VAEO在吸附前期為擴散控制吸附,在吸附后期為混合動力控制吸附,質量濃度大于cmc時,為混合動力控制吸附,膠束不影響吸附行為。VAEO10和VAEO20的擴散系數D的數量級為10-11m2/s,比文獻報道的壬基酚聚氧乙烯醚(NPEO9)低一個數量級。
表面活性劑是一種能夠在界面吸附,降低界面張力的物質。在界面快速形成過程中,如紡織品、紙和其他基質的快速潤濕,液體的發泡,用靜態(平衡)表面張力不能全面表征表面活性劑快速降低界面張力的能力,而動態表面張力能更好地表征表面活性劑在上述過程中所起的作用。1946年Word和Tordai研究陰離子表面活性劑的界面吸附行為,提出了描述氣/液界面吸附量隨吸附時間變化的Word-Tordai方程;隨著各種檢測手段的開發應用,20世紀90年代起,關于表面活性劑的動態表面張力及其在氣/液界面吸附行為又引起該領域研究者的關注。Eastoe和Dalton通過研究雙子型非離子表面活性劑在空氣——水界面的吸附機理,驗證了Word和Tordai提出的擴散控制吸附和混合動力控制吸附模型適用于該體系。柴金玲等利用Word-Tordai方程得到烷基聚葡糖苷(APG)在不同濃度、溫度時的擴散系數和表觀擴散系數,并發現鹽對吸附行為有明顯影響;劉杰等通過Rosen模型研究膠束對APG的動態表面張力的影響,發現各項參數的變化趨勢不會因為膠束的形成而受到影響。
本課題組以香蘭素為原料合成香蘭素基非離子型表面活性劑(VAEO),化學結構示意圖見圖1(擬用于替代對環境危害較大的烷基酚聚氧乙烯醚(APEO)。本研究對VAEO水溶液的動態表面張力(DST)和界面吸附行為進行表征。用最大氣泡壓力法測定VAEO的DST,采用Word-Tordai模型分析實驗數據。以期在后續研究中深層次分析VAEO在起泡、潤濕等性能方面替代APEO的原因。
1實驗部分
1.1主要試劑與儀器
香蘭素基聚氧乙烯醚left(VAEO_n,n=10right.、20,由香蘭素與辛二醇在磷酸催化下生成香蘭素辛二醇縮醛,再與環氧乙烷開環加成聚合反應得到,純度95%),其EO聚合度呈泊松分布。
芬蘭Kibron公司生產的Delta-8全自動高通量表面張力儀、超微量天平。
1.2實驗方法
1.2.1靜態表面張力測定
按照GB/T 11276-2007,用去離子水配制不同濃度的表面活性劑溶液,以鉑金吊環法測定靜態表面張力,溫度為(25pm 0.5){}^{circ}C.
1.2.2動態表面張力測定
用最大氣泡壓力法測定不同濃度表面活性劑溶液的動態表面張力,毛細管半徑為0.237mm,溫度為(25pm 0.1){}^{circ}C,測試氣泡表面壽命范圍10——50000 ms.
2結果與討論
2.1動態吸附模型
由Word和Tordai提出并廣為接受的表面活性劑·304·在氣/液界面的吸附模型為:表面活性劑分子從溶液本體到達溶液表面需要一個過程,先從溶液本體擴散到次表面,然后在次表面與溶液表面之間達到吸附平衡,次表面是假想的一個緊挨著表面層只有幾個分子厚的面。吸附速率由慢過程決定。動態吸附機理主要分為擴散控制吸附和混合動力控制吸附。
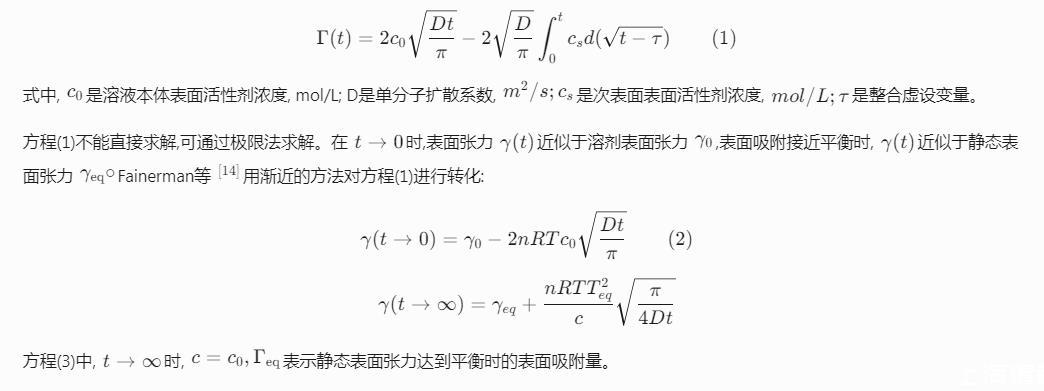
擴散控制的吸附過程,表面活性劑分子由濃度差驅使進入新表面,不存在吸附勢壘。Word-Tordai方程描述了界面吸附量Г(t)與吸附時間t的關系:Г(t)=2c0Dtπ-2Dπ∫t0csd(t-τ)(1)式中,c0是溶液本體表面活性劑濃度,mol/L,D是單分子擴散系數,m2/s,cs是次表面表面活性劑濃度,mol/L,τ是整合虛設變量。方程(1)不能直接求解,可通過極限法求解。在t→0時,表面張力γ(t)近似于溶劑表面張力γ0,表面吸附接近平衡時,γ(t)近似于靜態表面張力γeq.Fainerman等用漸近的方法對方程(1)進行轉化:γ(t→0)=γ0-2nRTc0Dtπ(2)γ(t→∞)=γeq+nRTГ2eqcπ4Dt(3)方程(3)中,t→∞時,c=c0,Γeq表示靜態表面張力達到平衡時的表面吸附量。混合動力擴散吸附是指表面活性劑分子從本體擴散到次表面仍然遵循擴散機理,但從次表面層擴散到表面層時需克服一定的勢壘。Liggieri和Ravera[15,16]提出,次表面層中的分子,只有能量大于吸附活化能εa才能被吸附到表面,已吸附的分子,只有能量大于解吸活化能εb才能被解吸。以Word-Tordai方程為基礎,引入矯正擴散系數D?。矯正擴散系數D?和擴散系數D關系定義為:D?=Dexp(——εa/RT)(4)當吸附活化能εa趨向于0時,由方程(4)可知,D?趨向于D,吸附過程趨向擴散控制過程。引入D?后,混合動力控制過程的界面吸附量Г(t)與吸附時間t之間的關系可以修正為:Г(t)=2c0Datπ-2Daπ∫t0csd(t-τ)(5)其中,Da為表觀擴散系數。Da=D?2D=Dexp(——2εa/RT)(6)由于合成的VAEOn為不同EO聚合度的混合物,本研究測定及計算的VAEOn的擴散系數D、Da等均是平均意義上的數值。
2.2不同質量濃度VAEO的動態表面張力
先測定不同質量濃度表面活性劑室溫25℃時的靜態表面張力,通過γ-lgρ曲線求得VAEO{}_{10}和VAEO20的臨界膠束濃度(cmc)分別為0.6和0.7g/L(0.83和0.62mmol/L),臨界表面張力(gamma_{text{cmc}})分別為32.9和39.8mN/m.動態表面張力(DST)試驗的表面活性劑質量濃度選擇在10-1——102cmc之間。不同質量濃度VAEO{}_{10}和VAEO{}_{20}在25℃下的DST測定結果如圖2所示。
圖2中,隨著表面活性劑分子擴散到表面,表面張力y(t)開始下降(其初始最高值gamma_{0}為水的表面張力72 mN/m)。由圖2可以看出,VAEO{}_{10}和VAEO{}_{20}在吸附初始階段表面張力均下降迅速,說明吸附速率較快,且溶液質量濃度越大表面張力下降越快。比較VAEO與VAEO20,相同質量濃度的VAEO10比VAEO20降低溶液表面張力的效果更顯著,這是因為前者分子小,容易擴散,且在表面吸附排列時,表面吸附量較多,相同時間內可使表面張力降低到更低的數值。
方程(2)來表述表面張力與時間的關系,對非離子表面活性劑,式中n=1.以y(t)對t/2作圖,結果見圖3.短時間內γ(t)與t1/2成直線關系,直線截距對應溶劑的表面張力,擴散系數D可由直線斜率求出,結果見表1.分析表1數據:在VAEO溶液質量濃度小于cmc時,吸附前期擴散系數D隨質量濃度增大而增大,說明擴散系數D與質量濃度有關。擴散系數D隨濃度增大的情況,有研究認為,可能的原因是隨著溶液質量濃度增大,游離表面活性劑與水分子結合的乙氧基鏈段構型發生變化,在擴散過程中表面活性劑與水之間的作用力減弱,同時擴散過程中靠近表面活性劑的水分子附近應力場發生畸變,易形成空位和活化能降低,有利于后面表面活性劑的擴散,這種狀況在游離的表面活性劑分子濃度達到頂峰時,即cmc附近最為顯著,之后由于膠束的形成,會在一定程度上破壞這種行為,導致擴散速率降低。當質量濃度大于cmc時,短時間內,表面張力下降到很低的數值(見圖2),說明短時間內表面層已經吸附一定量溶質單分子,形成一定的表面壓,而表面壓可產生一定的吸附勢壘,影響分子從次表面層到表面層的擴散速率,吸附轉而由混合動力控制,此時溶液已不是稀溶液,方程(2)不再適用。





