合作客戶/
拜耳公司 |
同濟大學 |
聯合大學 |
美國保潔 |
美國強生 |
瑞士羅氏 |
相關新聞Info
-
> 烷基糖苷表面活性劑界面張力與潤濕性相關性研究(一)
> Langmuir-Blodgett法制備環糊精單分子或多分子層膜
> 硅丙乳液質量分數與粘度、表面張力的關系及在模擬病害壁畫修復中的應用(四)
> 接觸角遲滯時氣~液界面張力的溫度敏感性對液滴蒸發過程的影響——理論模型及計算方法
> JMP軟件定制熟化環境的濕度對光伏背板耐候層表面張力影響(二)
> 水體粘性是什么?
> 高沸點表面活性劑對納米LiBr溶液表面張力沸騰溫度的影響(下)
> 甜菜堿類表面活性劑?的礦化度對界面張力影響有多大
> 裂縫性水封氣藏解封過程中潤濕反轉劑濃度、氣水界面張力變化(三)
> 失重環境下的水滴因為有表面張力會形成標準的圓球
推薦新聞Info
-
> 微通道流動沸騰中表面張力的關鍵作用機制研究(三)
> 微通道流動沸騰中表面張力的關鍵作用機制研究(二)
> 微通道流動沸騰中表面張力的關鍵作用機制研究(一)
> 電場電壓對明膠液滴荷質比、表面張力的影響及預測模型構建(三)
> 電場電壓對明膠液滴荷質比、表面張力的影響及預測模型構建(二)
> 電場電壓對明膠液滴荷質比、表面張力的影響及預測模型構建(一)
> 破解固態電池界面之困:表面張力調控SiO?氣凝膠電解質原位構筑新策略
> 聯結基對磺酸鹽型雙子表面活性劑界面行為及泡沫穩定性的作用機制(三)
> 聯結基對磺酸鹽型雙子表面活性劑界面行為及泡沫穩定性的作用機制(二)
> 聯結基對磺酸鹽型雙子表面活性劑界面行為及泡沫穩定性的作用機制(一)
鈦合金Ti6Al4V :SLM成型件冶金缺陷與表面張力有關嗎
來源:《工程科學與技術》 瀏覽 819 次 發布時間:2025-06-17
激光選區熔化技術(SLM)的成型質量受各種因素影響,其中,工藝參數對成型件的冶金缺陷影響最為顯著,而熔池特性的研究則是判斷激光增材制造成型質量的有力手段。本文建立SLM成型Ti6Al4V粉體3維瞬態熱流場數值模型,利用優化后的數值模型分析熔池的動態演變機制,并在計算流體動力學中利用無量綱數定量描述工藝參數固定情況下熔池的動態演化,結合數值模擬和仿真實驗分析球化、孔洞、黏粉和飛濺等缺陷形成機理,探究線能量密度和體能量密度對成型缺陷的影響規律,揭示SLM成型件冶金缺陷的形成機理與抑制方法,并提出一種“工藝參數?熔池特征?成型質量”一體化的方法預測成型質量。此外,本文還分析Ti6Al4V的加工工藝參數與熔池特征和增材制造成型質量的影響關系,包括關鍵加工參數對熔池熱流場的影響,通過結果對比來探究工藝參數對加工質量的影響規律,為優化加工參數提供指導作用,節省大量的時間和成本。結果表明:熔池的主要傳熱方式為熱對流,熔池演變的主要驅動力是蒸發反沖壓力、表面張力和馬蘭戈尼剪切力。隨著能量密度的降低,熔池流動性減弱,熔池尺寸表現出一定的規律性。熔融金屬在表面張力的驅動下,往往會降低表面能凝固成球狀,導致逐層成型后塊體內部形成大量孔洞缺陷,嚴重影響試樣的力學性能。因此,為獲得力學性能良好的試樣,必須精確控制能量密度,防止熔池流動性變化導致內部孔洞缺陷的形成。
鈦合金作為最常見的金屬合金,在航空、航天和生物醫學領域得到了廣泛的應用。Ti6Al4V是最常用的鈦合金,它具有高強度、低密度、高斷裂韌性、優異的耐腐蝕性和優良的生物相容性,可用于重型航空建筑、渦輪發動機、燃氣輪機等,也可用于醫用骨骼、牙齒等。然而,Ti6Al4V的高熔點、低導熱系數和低彈性模量意味著使用傳統方法進行加工將是一個巨大的挑戰。
激光選區熔化技術(SLM)作為新興技術,為高設計自由度的輕量化設計提供了巨大的潛力。該技術可省略刀具、夾具等傳統加工裝備,具有加工周期短、設計和生產時間少、制造成本低、材料利用率高的優勢,目前,已經被廣泛應用于航空航天、汽車、醫療、工業、建筑、文娛、生物科技等各個產業領域的產品設計與制造,在各類產品的智能制造方面占有較高比重,具有廣闊的應用前景。傳統Ti6Al4V加工制造工藝復雜,材料利用率低,成本較高。SLM加工成型Ti6Al4V采用離散堆積成型機理,不受成型試件形狀約束,且生產工藝流程簡單,可有效避免用傳統方法加工Ti6Al4V的相關問題。SLM成型Ti6Al4V合金涉及復雜的粉體?液?固相變,存在多物理場相互耦合的現象:粉末對激光輻射的吸收和散射、粉體及成型固體的傳熱、熔體的流動、材料的蒸發和揮發及熔化/凝固/非平衡相變等。并且,材料的差異性、成型過程復雜多變、工藝不穩定性等問題,使試件的成型質量和可重復性難以保證。要實現高精度、復雜零件的工業化生產,必須克服加工缺陷,例如,零件孔洞、飛濺球化、表面粗糙、不理想的微觀組織結構及力學性能、零件殘余應力等。識別和控制多物理場耦合產生的上述物理現象及其相互作用機制,對于生產全密度無缺陷零件至關重要。
基于離散單元法的“熱?流”耦合模型主要采用的方法為有限體積法和有限差分法。常用的軟件有FLUENT、FLOW3D等。Yan等研究低功率下電子束選區熔化(EBSM)鈦合金的單/多道缺陷的形成過程,包括球化效應、單道不均勻性,研究得出粉末粒度分布和粉末層厚是影響單道不均勻性的顯著因素,而增加激光功率和減小粉層厚度可以避免球化現象,但是,該研究對工藝參數(如掃描速度、束流)優化策略的指導性有限。謝印開利用EDEM離散單元軟件建立粉末床模型,并用FLUENT模擬不同工藝參數下Ti6Al4V的熔池尺寸和流動情況,根據熔池溫度分布及熔池表面形貌特征分析氣孔缺陷形成的機理,為選擇合理的工藝參數提供指導,但是,該模型沒有考慮反沖壓力的作用,沒有分析熔池內部的主導驅動力。葉唯娟利用YADE建立粉末床模型,并用FLOW3D模擬鈦合金SLM熔池受熱—熔化—流動—凝固過程,研究單道球化及不平直現象的形成機理,結果得出球化是由于能量輸入不足而沒有熔化基板,不平直現象是由熔池邊緣粉末的隨機排布與不規則黏附導致,表明表面張力和蒸汽反沖壓力是熔池內部的兩種驅動力,但是,沒有討論“匙孔”的形成,以及表面張力和蒸汽反沖壓力是如何作用于熔池及如何取決于能量密度。He等采用DEM和CFD建立SLM多道成型的數值模型,研究表明通過控制激光能量輸入可以有效控制熔池的動態狀態和單道之間的氣孔,但是,該研究缺少實驗的驗證。Wang等采用粉末尺度多物理場耦合模型模擬Ti6Al4V的成型過程,研究結果表明在一定能量輸入下,粉末層越厚則孔隙缺陷越明顯;在高激光功率下Marangoni效應增強導致熔池凝固后單道表面出現了明顯的波紋;該研究雖能預測熔池形態與缺陷,但未提供工藝參數優化具體策略,難以直接指導工業生產。Khairallah等研究316L不銹鋼金屬粉末熔化凝固的成型過程,認為蒸發反沖壓力、表面張力、Marangoni對流都是熔池內部主要的驅動力,揭示孔隙、材料飛濺和剝蝕區等物理缺陷機理,并給出熔池形成后流場速度在前端凹陷區、中間過渡區和末端區的分布規律;然而,該研究忽略了微觀尺度效應(如熔池內非平衡凝固、納米級氣液界面波動),難以精確描述匙孔不穩定性和微氣泡的瞬時演化。
基于上述研究的局限性,本文綜合激光功率和掃描速度分析線能量密度公式對成型質量的影響;并使用激光功率、掃描速度、掃面間距等工藝參數分析體能量密度公式與成型質量之間的關系。結合數值模擬分析球化、孔洞、黏粉和飛濺等缺陷形成機理,探究線能量密度和體能量密度對成型缺陷的影響規律,并揭示SLM成型件冶金缺陷的形成機理與抑制方法。
理論模型與條件分析
流場邊界條件
作用在流場邊界條件上的力FH主要分為表面力和體積力。其中:施加于熔池上的表面力包括表面張力和反沖壓力;體積力包含重力、浮力和糊狀區阻力。所以,FH由式(5)計算得出:
(5)
式中,fs為表面張力,Pr為反沖壓力,fg為浮力,fd為糊狀區阻滯力。
由于表面力需要利用高斯散度定理將其轉換為體積力,并且由于交界面物性參數的突變會導致數值的離散,使得結果不收斂,因此采用基于密度平滑的CSF模型計算模型的表面力,將表面力乘以δ1轉換成體積力,δ1為無量綱的系數,具體轉換公式如下:
(6)
當溫度高于材料熔點時,氣/液界面在表面張力的作用下維持平衡,研究表明:熔融金屬的表面張力與溫度呈負相關關系,即表面張力的大小隨著溫度升高逐漸降低;在表面張力梯度下將會形成Marangoni剪切力,熔融金屬在Marangoni剪切力作用下,會從熔池的高溫區向低溫區流動;同時,熔池底部的流體向上流動,在熔池的內部流體形成“環流”,促使熔池內液體的流動,加快熱量和物質的交換。表面張力的表達式如下:
(7)
式中:
為材料處于熔點時的表面張力系數,N/m;
為表面張力系數隨溫度的變化率;
為液相溫度,K;
為界面曲率,1/m;
為界面法向量。
當輸入的能量密度過高時,熔池的最高溫度高于該金屬材料的蒸發溫度,金屬蒸汽對熔池表面產生擠壓力,這個力稱為反沖壓力。反沖壓力大小與溫度有關,熔池的溫度越高,反沖壓力作用效果越強。反沖壓力作用于“匙孔”壁面上,方向為垂直于氣/液界面,反沖壓力的計算公式如下:
(8)
式中:
為標準大氣壓,Pa;
為蒸發潛熱,J/kg;M為Ti6Al4V的摩爾質量,g/mol;
為蒸發溫度,K;R為理想氣體常數,J/(mol·K)。
SLM的熱影區在熔池的長度X、寬度Y和深度Z方向均存在很大的溫度梯度,這是因為SLM成型過程中液態金屬的密度一般為溫度函數,即隨著溫度升高而降低。因此,熔池頭部的上表面溫度高,密度小;熔池頭部的下表面溫度低,密度大;該密度差導致熔體有向上流動的趨勢,驅動著液體金屬從高溫區向低溫區傳遞熱量,從而能保持熔池溫度平衡。而由溫差誘導的流動現象,被形象地稱作熱浮力。數值模擬中,處理熱浮力有兩種方法:一是,把密度當作是溫度的函數;二是,利用Boussinesq假設將材料密度視為定值,以源項的形式把熱浮力添加到動量方程中。采用第1種方法來表示熔池中的熱浮力,熱浮力的計算公式如下:
(9)
式中,
為熱膨脹系數,1/K。
處于液相線和固相線之間的區域是具有多孔結構的糊狀區。流動的液態金屬在糊狀區阻力的作用下逐漸凝固,本文采用焓孔法來處理糊狀區存在的動量損耗問題。焓孔法在每個單元中通過溫度計算該單元內的動量損耗;利用單元的溫度計算得到該單元中的液化體積分數,溫度越高,液化體積分數越大,則流體流動所受到的阻力就越小;在完全凝固區,液化體積分數為0,速度也降為0,即流體不再流動。因凝固造成的單元動量損失由式(10)計算得到:
(10)
式中,
為糊狀區內流體在多孔介質處的阻尼力糊狀區阻力,
為凝固區常數,
為與溫度有關的液化體積分數,
為一個非常小的常數。
能量密度對于球化缺陷形成的影響
在選區激光熔化的過程中,隨著激光線能量密度的減小,熔融的金屬液體逐漸不足以潤濕基板,為了減小表面積和降低液相表面能,單道形態逐漸從連續態過渡到斷續態、球化態。球化現象會造成成型件表面不平整,內部缺乏融合,形成大量孔洞,導致成型件致密度和力學性能下降。因此,優化激光加工參數(如激光功率、掃描速度)調節能量密度至適宜范圍,以減少缺陷、提升成型件質量。
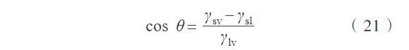
液固潤濕特性是SLM工藝成功的關鍵,常用接觸角
描述潤濕程度:
式中,
分別為固?液、固?氣和氣?液界面的表面張力。
越大,說明液態金屬對固體基板的潤濕性越差;反之,越好。當
大于90°時,表示潤濕性較差的狀態,熔融金屬不易鋪展,如圖1(a)所示。當
小于90°時,表示潤濕性較好的狀態,液態金屬的鋪展性較好,如圖1(b)所示。
圖1熔融金屬與固體基板的潤濕性示意圖
(a)濕潤性差(b)濕潤性好
為分析線能量密度對球化缺陷形成機理的影響,選取激光功率150 W,線能量密度分別為83.3 J/m、125.0 J/m和250.0 J/m的3組參數進行數值模擬,結果如圖2所示。當線能量密度為83.3 J/m時,部分熔融金屬凝固并與周圍粉末黏附成球;部分熔融金屬在表面張力的驅使下傾向于減少表面能,迅速地成球;這兩種成球方式往往共同出現。這是因為激光的穿透深度沒有到達基板,此時接觸角為180°,呈現不完全濕潤狀態,液態金屬流動受阻,因此不能在基板上鋪展。當線能量密度提高到125.0 J/m時,單道由球化形態向斷續態過渡,雖然表面還比較粗糙,但是球化效應明顯減弱,此時激光穿透深度剛剛到達基板,接觸角約為90°。當線能量密度繼續提高到250.0 J/m時,熔化的金屬粉末形成充足的熔融金屬,從而改善其流動性,凝固后獲得高度均勻和連續的單道,激光穿透深度能夠穿透粉末床并熔化基板,并且接觸角大于90°。因此,球化缺陷的形成機理可以總結為能量密度太低,熔融金屬不能在基板上鋪展。判斷是否球化最直接的依據是觀察熔池深度是否穿透粉末層厚,并熔化了基板,也可以計算熔池的接觸角是否小于90°來判斷熔池的濕潤性。此外,還可通過適當提高線能量密度,提高熔融金屬的流動性,以獲得更均勻和連續的單道。
Ti6Al4V成型質量預測模型結果分析
擬合結果表明:熔池寬度、熔池深度及熔池最高溫度與線能量密度之間存在顯著的熱力學依賴關系。基于能量守恒定律和傅里葉熱傳導理論,線能量密度的變化直接影響了熔池內的熱輸入分布,進而通過溫度梯度驅動熔池邊界的擴展與凝固行為。具體而言,線能量密度增大時,熔池最高溫度呈非線性上升,導致熔池深度顯著增加;同時,熔池寬度因表面張力與熱毛細流動的耦合作用呈現先增后穩的飽和趨勢。





