合作客戶/
拜耳公司 |
同濟大學 |
聯合大學 |
美國保潔 |
美國強生 |
瑞士羅氏 |
相關新聞Info
推薦新聞Info
-
> 微通道流動沸騰中表面張力的關鍵作用機制研究(三)
> 微通道流動沸騰中表面張力的關鍵作用機制研究(二)
> 微通道流動沸騰中表面張力的關鍵作用機制研究(一)
> 電場電壓對明膠液滴荷質比、表面張力的影響及預測模型構建(三)
> 電場電壓對明膠液滴荷質比、表面張力的影響及預測模型構建(二)
> 電場電壓對明膠液滴荷質比、表面張力的影響及預測模型構建(一)
> 破解固態電池界面之困:表面張力調控SiO?氣凝膠電解質原位構筑新策略
> 聯結基對磺酸鹽型雙子表面活性劑界面行為及泡沫穩定性的作用機制(三)
> 聯結基對磺酸鹽型雙子表面活性劑界面行為及泡沫穩定性的作用機制(二)
> 聯結基對磺酸鹽型雙子表面活性劑界面行為及泡沫穩定性的作用機制(一)
釕催化劑合成丁炔二醇醚三硅氧烷表面活性劑反應條件及表面張力測定(二)
來源:北京化工大學學報(自然科學版) 瀏覽 1191 次 發布時間:2025-03-14
1.5 BEOTSS的結構表征
采用紅外光譜儀測定樣品的紅外光譜,使用KBr涂膜法制樣;采用核磁共振波譜儀測定樣品的1H-NMR譜圖,溶劑為氘代氯仿(CDCl3)。
1.6 BEOTSS的界面性能測定
將BEOTSS用超純水配制成0.1%(質量分數)的水溶液,在25℃恒溫下用表面張力儀測定表面張力。25℃下超純水的表面張力為72.0 mN/m,可作為校正儀器的基準。
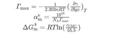
將BEOTSS配制成不同濃度的水溶液,測定其平衡表面張力,繪制表面張力γ與濃度對數lgc的關系曲線。當γ-lgc曲線出現轉折時,轉折點對應的濃度即為臨界膠束濃度(CMC),對應的表面張力為γCMC。飽和吸附量(Γmax)、界面上每個表面活性劑分子所占的最小面積()以及膠束化標準自由能(Δ)由以下公式[1,21]得到。
式中:γ為表面張力,mN/m;c為表面活性劑的濃度,mol/L;T為溫度,298 K;R為摩爾氣體常數,8.314 J/(mol·K);n為與表面活性劑性質相關的參數,對于本文研究的非離子表面活性劑,n=1;N A為阿伏加德羅常數;c CMC為臨界膠束濃度,mol/L。
2結果與討論
2.1釕基和鉑基催化劑的性能比較
分別以三氯化釕、三(三苯基膦)二氯化釕、六水合氯鉑酸和50%三氯化釕+50%氯鉑酸為催化劑,在以下條件下合成BEOTSS:催化劑用量30 mg/kg(以Ru或Pt質量計),n(BEO)∶n(MDHM)=1.05∶1,反應時間6.0 h,反應溫度100℃。測定MDHM轉化率以及0.1%BEOTSS水溶液的表面張力,結果如表1所示。可以看出,這幾種催化劑的效果均較好,MDHM轉化率在97%以上,表面張力低于24 mN/m。其中,三氯化釕的催化效果與傳統的氯鉑酸相差不大,只是所得產物為黃色液體,比氯鉑酸的產物顏色深。考慮到三氯化釕價格比氯鉑酸便宜很多,因此采用三氯化釕作為催化劑具有很好的成本優勢。
表1不同催化劑的MDHM轉化率以及0.1%BEOTSS水溶液的表面張力
本實驗在使用三氯化釕作為催化劑進行硅氫加成反應的過程中發現,先將BEO與催化劑在80℃下活化30 min,然后加入MDHM進行反應,所得產物的顏色比直接將原料一次性加入時所得產物的顏色淺很多。這是因為在硅氫加成反應前先使三氯化釕與BEO形成膠體,BEO中的C≡C不飽和鍵與釕催化劑形成絡合物,活化后加入MDHM可快速進行硅氫加成反應,抑制副反應發生,故本實驗采用先將BEO活化、再加入MDHM的方法進行硅氫加成反應。此外,實驗發現,當無溶劑存在時,反應體系的顏色較深,所得產物不透明,穩定性差,放置易分層;當使用異丙醇作為溶劑時,不僅可以增強反應物之間的相容性,而且可以使反應生成的熱量(硅氫加成反應為強放熱反應)及時釋放出來,反應體系的顏色較淺,所得產物透明、穩定。
2.2反應條件對MDHM轉化率的影響
2.2.1催化劑用量
在n(BEO)∶n(MDHM)=1.05∶1、反應時間6.0 h、反應溫度100℃的條件下,考察三氯化釕催化劑用量對MDHM轉化率的影響,結果如圖2所示。可以看出,隨著催化劑用量的增加,MDHM轉化率逐漸增大。當催化劑用量大于30 mg/kg時,MDHM轉化率可達99%以上。與催化劑用量30 mg/kg相比,催化劑用量為40 mg/kg時MDHM轉化率僅提高了0.25%,提升幅度不大,同時催化劑用量增加使得生產成本提高,產物顏色加深。綜合考慮,本文確定適宜的催化劑用量為30 mg/kg。
圖2催化劑用量對MDHM轉化率的影響
2.2.2原料配比
在三氯化釕催化劑用量為30 mg/kg、反應時間6.0 h、反應溫度100℃的條件下,考察BEO與MDHM的物質的量比對MDHM轉化率的影響,結果如圖3所示。可以看出,隨著n(BEO)∶n(MDHM)增大,MDHM轉化率先增大后減小,在n(BEO)∶n(MDHM)=1.05∶1時MDHM轉化率最大。理論上Si—H鍵與C≡C鍵的物質的量比為1∶1,為了提高MDHM的轉化率及利用效率,BEO可略微過量,但不宜過量太多,否則會導致MDHM轉化率降低。這是因為BEO分子中存在C≡C不飽和鍵(炔烴),在釕催化劑的作用下發生以下副反應:MDHM分子中Si—H鍵的氫脫除交聯,脫除的氫加成到C≡C鍵形成C=C雙鍵,這些炔烴與烯烴在高濃度及高溫下聚合成高分子,因此當BEO過量太多時容易發生聚合交聯,使產品黏度增大而發生凝膠化,導致產物分層,穩定性降低。因此,本文確定適宜的n(BEO)∶n(MDHM)為1.05∶1。
圖3原料配比對MDHM轉化率的影響
2.2.3反應溫度
在n(BEO)∶n(MDHM)為1.05∶1、三氯化釕催化劑的用量為30 mg/kg、反應時間6.0 h的條件下,考察反應溫度對MDHM轉化率的影響,結果如圖4所示。可以看出,MDHM轉化率隨溫度的升高而增大,這主要是因為Si—H鍵的反應活度受溫度影響,溫度越高越有利于其斷裂。溫度為100℃的MDHM轉化率(99.05%)相較90℃的MDHM轉化率(98.6%)僅提高了0.45%,提升幅度很小,這是因為反應溫度過高會使催化劑的催化效率降低,產物顏色加深,但考慮到MDHM轉化率須大于等于99%,因此本文確定適宜的反應溫度為100℃。
圖4反應溫度對MDHM轉化率的影響
2.2.4反應時間
在n(BEO)∶n(MDHM)為1.05∶1、三氯化釕催化劑的用量為30 mg/kg、反應溫度100℃的條件下,考察反應時間對MDHM轉化率的影響,結果如圖5所示。由圖5可知,隨著反應時間的增加,MDHM轉化率逐漸增大,當反應時間為6.0 h時轉化率最大,繼續增加反應時間MDHM轉化率沒有提高,并且增加了生產成本及能源消耗。因此,本文確定適宜的反應時間為6.0 h。
圖5反應時間對MDHM轉化率的影響





