合作客戶/
拜耳公司 |
同濟大學 |
聯合大學 |
美國保潔 |
美國強生 |
瑞士羅氏 |
相關新聞Info
推薦新聞Info
-
> 微通道流動沸騰中表面張力的關鍵作用機制研究(三)
> 微通道流動沸騰中表面張力的關鍵作用機制研究(二)
> 微通道流動沸騰中表面張力的關鍵作用機制研究(一)
> 電場電壓對明膠液滴荷質比、表面張力的影響及預測模型構建(三)
> 電場電壓對明膠液滴荷質比、表面張力的影響及預測模型構建(二)
> 電場電壓對明膠液滴荷質比、表面張力的影響及預測模型構建(一)
> 破解固態電池界面之困:表面張力調控SiO?氣凝膠電解質原位構筑新策略
> 聯結基對磺酸鹽型雙子表面活性劑界面行為及泡沫穩定性的作用機制(三)
> 聯結基對磺酸鹽型雙子表面活性劑界面行為及泡沫穩定性的作用機制(二)
> 聯結基對磺酸鹽型雙子表面活性劑界面行為及泡沫穩定性的作用機制(一)
去乙酰化槐糖脂生物表面活性劑的結構鑒定、理化性質及應用(二)
來源:應用化學 瀏覽 1053 次 發布時間:2025-02-13
1實驗部分
1.1儀器和試劑
1290 HPLC-Bruker Maxis Q-TOF型高效液相色譜-高分辨串聯質譜聯用儀(HPLC-MS/MS,美國Agilent公司);LC-WB-4型磁力攪拌水浴鍋(上海力辰邦西儀器科技有限公司);JZ-200A型自動界面張力儀(芬蘭Kibron公司);Foamscan型全自動泡沫分析儀(法國Teclis公司)。
SLs產品:野生型菌株生產的SLs產品是以葡萄糖和油酸為底物,經發酵后自然沉淀得到系列同系物,大部分具有乙酰基,簡稱為“乙酰化SLs”;去乙酰化菌株生產的SLs產品是以葡萄糖和油酸為底物,經發酵后使用乙醇萃取,在55℃減壓去除乙醇溶劑后得到,簡稱為“去乙酰化SLs”。
乙酸乙酯、無水乙醇、硫酸、甲酸、無水碳酸鈉、連二硫酸鈉、無水氯化鈣、氯化鈉和液體石蠟均為分析純試劑,氫氧化鈉和硫化鈉為化學純試劑,以上試劑均購自國藥集團化學試劑有限公司;松節油和棉籽油為分析純試劑,購自上海邁瑞爾生化科技有限公司。
1.2乙酰化SLs和去乙酰化SLs同系物的結構鑒定
HPLC-MS/MS的色譜柱為Waters ACQUITY UPLC BEH130 C18 2.1 mm×150 mm×1.7μm。實驗條件:流動相A:0.1%甲酸、1%乙腈水溶液;流動相B:0.1%甲酸乙腈;流速為0.2 mL/min;等度洗脫條件為:80%B。柱溫:30℃,進樣量:1μL,UV檢測波長:207 nm,無分流進入質譜。質譜:電噴霧正離子模式;掃描范圍m/z 200~1000;毛細管電壓:4.5 kV;噴霧氣壓1.03×104 Pa;干燥氣(N2)流速:6 L/min;氣體溫度:180℃;分辨率:50000。
1.3理化性能測試方法
1.3.1溶解性、濁點和耐酸堿性
溶解度測定:量取100 mL去離子水于燒杯中,逐步加入溶質其中至恰好飽和,計算濃度。濁點的測定參考GB/T 5559-2010。耐酸堿性檢測方法參考GB/T 5555-2003和GB/T 5556-2003,抗硬水性測試參考GB/T 7381-2010。
1.3.2表面性能
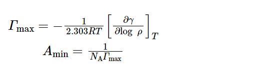
通過鉑環法在室溫下進行表面張力測定,參考GB/T 5549-2010。繪制出表面張力-濃度對數(γ-lg c)曲線。使用公式(1)和(2)對飽和吸附量(Гmax)和單個分子占據最小表面積(Amin)進行計算。
式中,Гmax是飽和吸附量(μmol/m2);γ為表面張力(mN/m);R為摩爾氣體常數(8.314 J/(mol·K));T為熱力學溫度(K);ρ為表面活性劑的質量濃度(mg/L);(?γ/?logρ)T是表面張力與濃度對數關系曲線的斜率;Amin是單個分子占有的最小表面積(nm2);NA為阿伏伽德羅常數(6.022×1023/mol)。
1.3.3親水-親油平衡值
采用乳化法來測定HLB值,即通過觀測樣品對確定HLB值的混合植物油的乳化穩定性來評價樣品的HLB值。具體方法為:使用松節油(HLB值為16)和棉籽油(HLB值為6)配制一系列不同HLB值的油相,每19份油相中加入80份水和1份待測樣品,攪拌乳化,穩定10 min后讀取乳化層高度,乳化層高度最高的試樣中對應油相的HLB值即為待測試樣的HLB值。
1.3.4泡沫性能
使用泡沫分析儀通過多孔介質向400 mL待測液體(1 g/L)內注入氣體而產生泡沫,記錄2種SLs起泡后穩定30 s和5 min的泡沫量,使用公式(3)計算2種SLs的泡沫穩定性:
式中,Sfoam為泡沫穩定性,V5 min為靜置5 min后的泡沫體積(mL),V30 s為靜置30 s后的泡沫體積(mL)。為了對比分析SLs在不同鹽度(S)下的泡沫性能,在氯化鈉質量濃度為0、10、100、200、400、600、800和1000 mg/L的溶液中測定30 s泡沫量,方法同上。
1.3.5乳化性能
取40 mL待測溶液(1 g/L)、40 mL液體石蠟,加入到100 mL具塞量筒中,劇烈搖動后開始計時,記錄分出10 mL水相所用時間。





