合作客戶/
拜耳公司 |
同濟大學 |
聯合大學 |
美國保潔 |
美國強生 |
瑞士羅氏 |
相關新聞Info
推薦新聞Info
-
> 微通道流動沸騰中表面張力的關鍵作用機制研究(三)
> 微通道流動沸騰中表面張力的關鍵作用機制研究(二)
> 微通道流動沸騰中表面張力的關鍵作用機制研究(一)
> 電場電壓對明膠液滴荷質比、表面張力的影響及預測模型構建(三)
> 電場電壓對明膠液滴荷質比、表面張力的影響及預測模型構建(二)
> 電場電壓對明膠液滴荷質比、表面張力的影響及預測模型構建(一)
> 破解固態電池界面之困:表面張力調控SiO?氣凝膠電解質原位構筑新策略
> 聯結基對磺酸鹽型雙子表面活性劑界面行為及泡沫穩定性的作用機制(三)
> 聯結基對磺酸鹽型雙子表面活性劑界面行為及泡沫穩定性的作用機制(二)
> 聯結基對磺酸鹽型雙子表面活性劑界面行為及泡沫穩定性的作用機制(一)
拉脫法測量:不同性能磁性液體的磁表面張力變化規律與影響因素(一)
來源:物理實驗 瀏覽 1213 次 發布時間:2024-10-16
使用拉脫法測量了磁性液體的磁表面張力,根據計算機實時采集電壓隨時間的變化數據得到U-t曲線,進而將液膜拉脫過程分為6個階段,分別研究了每個階段的電壓變化原因。無外加磁場作用時2F號磁性液體存在一電壓變化較平緩的階段,而白油和1F磁性液體并未出現此現象,這主要是因為白油和1F磁性液體表面張力較大,2F號磁性液體的表面張力較小造成。有外加磁場作用時,磁性液體的磁表面張力增加,主要是由于外加磁場增強了磁性顆粒之間的相互作用。
1、前言
磁性液體是由包覆表活性劑的磁性顆粒分散在載液中,依靠表面活性劑分子層的排斥作用而穩定存在,特殊結構決定了磁性液體表面張力的特殊性,外加磁場作用于磁性液體時,分散在載液中的磁性顆粒濃度和磁場強度會導致磁性液體的磁表面張力發生變化,從而影響磁性液體在界面不穩定性、液滴形變、密封等方面的應用。Sudo等人的研究表明:水基和煤油基磁性液體的磁表面張力隨磁場強度增強而變大;隨濃度增加,水基磁性液體的磁表面張力變小,而煤油基磁性液體的表面張力變大。大學物理實驗課程中設置了“拉脫法測量液體的表面張力系數”,一般都是測量水及其溶液的表面張力,以教師講授為主,且內容簡單,引不起學生的學習興趣,艾志偉等人提出將PBL教學模式應用到拉脫法測量液體的表面張力系數,以問題為導向,可促進學生的主動學習和合作學習。
因此,本文將特殊的磁性液體融入實驗教學,使用拉脫法測量其磁表面張力,新鮮知識的融入可激發學生的學習主動性;將硅壓力敏傳感器的力信號轉變為電壓信號輸入計算機,利用計算機在線實時監測電壓值的變化,研究拉脫過程中不同性能磁性液體的磁表面張力變化規律,讓學生了解磁表面張力的影響因素。根據計算機實時在線采集的電壓隨時間的變化曲線將液膜拉脫過程分為6個階段,分別對每個階段研究了電壓變化的原因。測量了豎直方向上均勻磁場中不同性能的磁性液體的磁表面張力,分析了磁場強度對其的影響。
2、實驗裝置及原理
拉脫法是測試液體表面張力最常用的方法,該方法靈敏度高、儀器簡單,因此使用拉脫法測量了磁性液體的磁表面張力,測試裝置如圖1所示。將培養皿放入空心螺線管的中心位置,倒入大約1.0cm高磁性液體,保證拉脫過程中磁性液體和片狀吊環處于均勻磁場中,所施加的磁場方向豎直向上,該磁場方向平行于切線方向的磁性液膜,研究均勻磁場強度對磁性液體磁表面張力的影響。
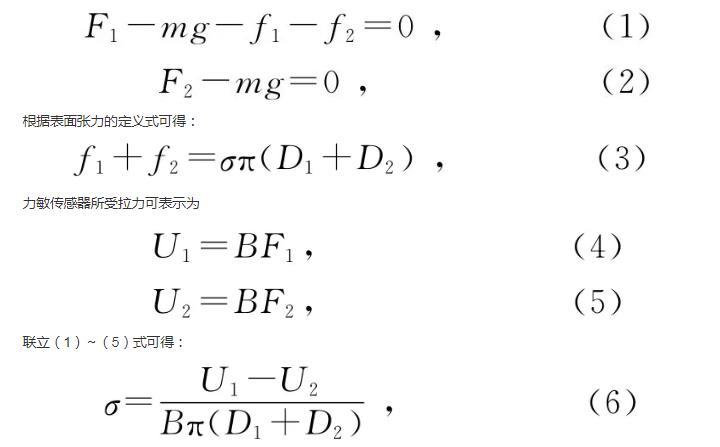
如圖2所示。液膜破裂前后瞬間,片狀吊環的受力平衡方程分別為
根據表面張力的定義式可得:
力敏傳感器所受拉力可表示為
聯立(1)——(5)式可得:
式中,F1和F2分別為液膜破裂前后瞬間片狀吊環所受的拉力,f1和f2為片狀吊環內外表面液體的表面張力,θ為表面張力與豎直方向的夾角。m為片狀吊環的質量,D1和D2為片狀吊環內外徑,B為力敏傳感器靈敏度,U1和U2為液膜破裂前后瞬間力敏傳感器輸出的電壓值,σ為磁性液體的磁表面張力系數。
圖1磁性液體磁表面張力測試儀
圖2片狀吊環某過程受力分析
3、無外加磁場和有磁場作用時磁性液體的表面張力
實驗使用的磁性液體采用等離子體法研制,將7#白油和PBSI-941表面活性劑按比例配制,常壓下加溫進行超聲波分散,使二者充分混合,倒入反應腔;通Ar置換反應腔內空氣,使用交變高頻脈沖電壓對NH3和Ar放電產生氮的活性粒子,和Fe(CO)5分解生成的鐵粒子重新組合,控制好反應溫度和時間,合成氮化鐵磁性液體。納米磁性顆粒的直徑范圍為9——15nm.1F號和2F號磁性液體制備時7#白油和PBSI-941表面活性劑的質量比分別為4.5:1和5:1,除7#白油用量不同外,其他制備參量相同。
表1力敏傳感器定標數據
圖3 7#白油和磁性液體液膜的收縮狀態
力敏傳感器定標數據見表1,使用Origin軟件對直線進行擬合,可得力敏傳感器靈敏度B=7.727V/N.測量無外加磁場作用的磁性液體表面張力系數時,為直觀觀察拉脫時液膜的變化過程,將培養皿放置于電磁線圈端部進行測量,圖3為拉脫過程中某一瞬間液膜的收縮狀態,從圖中可看到,磁性液體的液膜拉得更長,液膜收縮的趨勢比白油更明顯,這主要是因為磁性液體中加入的表面活性劑降低了其表面張力。可從表面張力形成原理來分析其中的原因:第一,液體表面張力系數的大小宏觀上反映出液體表面具有自動收縮的趨勢,表面張力系數較大的白油由于分子和分子之間的引力較大,表面層分子更容易向液體內部運動,某一拉力作用下,液膜斷裂,不易拉起較長的液膜;第二,不同液體對同一種固體的浸潤程度不一樣,表面張力系數小的液體(0.03N/m左右),幾乎能浸潤一切固體;表面張力系數較大的液體,只能浸潤某些固體;7#白油的表面張力系數大于磁性液體,片狀吊環和磁性液體的結合力大于片狀吊環和7#白油的結合力;液膜不容易和片狀吊環脫離,拉起來的液膜比較長。





